De Dutch Melanoma Treatment Registry (DMTR). De DMTR is de nationale melanoomregistratie in Nederland waarin alle stadium III en stadium IV patiënten worden geregistreerd die worden behandeld in de 14 melanoomcentra van Nederland.
Hier kunt u de publicatie vinden van de bijwerkingen en de overall survival gebaseerd op DMTR-data.
Bijwerkingen

Bovenstaande staafdiagram is gemaakt met behulp van data van de Dutch Melanoma Treatment Registry (DMTR). De DMTR is de nationale melanoomregistratie in Nederland waarin alle stadium III en stadium IV patiënten worden geregistreerd die worden behandeld in de 14 melanoomcentra van Nederland. Medicijnbehandeling voor stadium III en IV melanoom kan alleen in die 14 ziekenhuizen gegeven worden.
Bij stadium III zijn er uitzaaiingen naar de lymfeklieren, of zijn er uitzaaiingen op de huid rondom de oorspronkelijke tumor, of zijn er uitzaaiingen in of onder de huid tussen de oorspronkelijke tumor en de nabijgelegen lymfeklieren. Bij stadium IV is de tumor is uitgezaaid voorbij de nabijgelegen lymfeklieren naar een deel of delen van de huid of naar andere lymfeklieren, of naar andere organen zoals de lever, longen of de hersenen. Deze staafdiagram betreft het aantal patiënten met een irresectabel stadium melanoom. Dit zijn stadium III en IV patiënten waarbij niet alle uitzaaiingen/ziektelocaties met een operatie verwijderd kunnen worden. In de grafiek is het percentage patiënten te zien dat een graad 3 of hogere bijwerking heeft ervaren ten gevolge van hun behandeling. Elk middel heeft zijn eigen kleur en tussen haakjes staat het aantal mensen dat in de berekening is meegenomen per middel. Bijwerkingen worden ingedeeld in 5 graderingen:
In de grafiek zijn alleen patiënten meegenomen die een bijwerking vanaf graad 3 hebben ervaren.
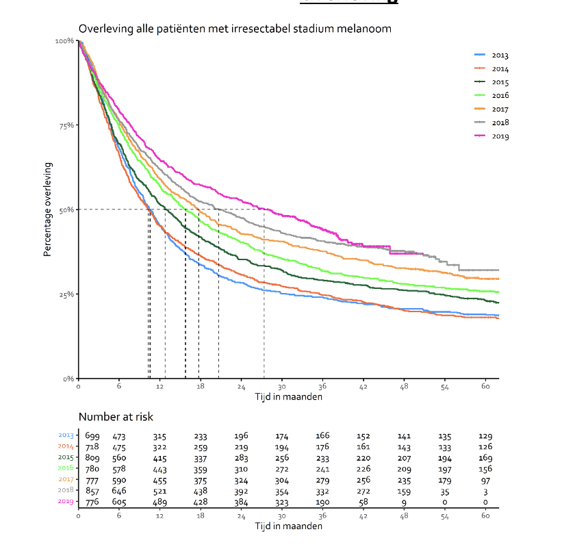
Overleving


Bovenstaande afbeeldingen zijn gemaakt met behulp van data van de Dutch Melanoma Treatment Registry (DMTR). De DMTR is de nationale melanoomregistratie in Nederland waarin alle stadium III en stadium IV patiënten worden geregistreerd die worden behandeld in de 14 melanoomcentra van Nederland. Medicijnbehandeling voor stadium III en IV melanoom kan alleen in die 14 ziekenhuizen gegeven worden.
Bij stadium III zijn er uitzaaiingen naar de lymfeklieren, of zijn er uitzaaiingen op de huid rondom de oorspronkelijke tumor, of zijn er uitzaaiingen in of onder de huid tussen de oorspronkelijke tumor en de nabijgelegen lymfeklieren. Bij stadium IV is de tumor is uitgezaaid voorbij de nabijgelegen lymfeklieren naar een deel of delen van de huid of naar andere lymfeklieren, of naar andere organen zoals de lever, longen of de hersenen. Bovenstaande zogenoemde ‘Kaplan-Meier curves’ laten de overleving zien van patiënten met een irresectabel stadium melanoom. Dit zijn stadium III en IV patiënten waarbij niet alle uitzaaiingen/ziektelocaties met een operatie verwijderd kunnen worden. De curves laten de overleving zien vanaf de diagnose van het irresectabele stadium melanoom. De curves eindigen wanneer een patiënt overlijdt of, wanneer een patiënt nog leeft, op het laatste contactmoment tussen arts en patiënt. Ze zijn opgesplitst naar het jaar van diagnose. Elk diagnosejaar heeft zijn eigen kleur. Op de horizontale lijn is de tijd in maanden weergeven en op de verticale lijn is het overlevingspercentage weergeven. Het zwarte stippellijntje geeft aan wanneer nog de helft van de patiënten in leven zijn. Onder het kopje ‘number at risk’ staan het aantal patiënten dat op dat moment in de tijd nog in leven zijn.
Het verschil tussen het eerste en het tweede plaatje is dat in het eerste plaatje alle patiënten zijn meegenomen, ongeacht de behandeling die ze hebben ondergaan. In het tweede plaatje zijn alleen mensen meegenomen die met medicatie (zoals immuuntherapie of BRAF/MEK-remming) zijn behandeld. Van belang om te benoemen is dat de afbeeldingen de overleving van alle melanoompatiënten laten zien en dat de overleving van een individuele patiënt beter of minder kan zijn afhankelijk van de kenmerken en uitgebreidheid van de ziekte.